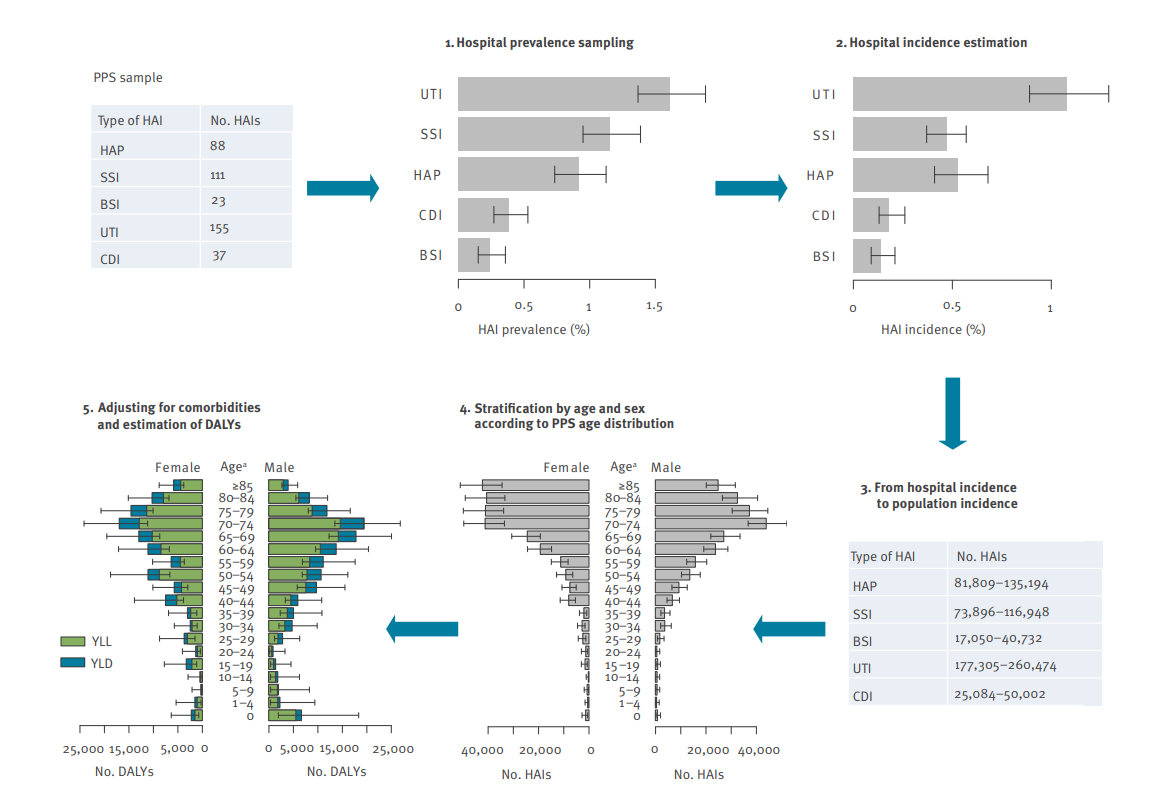
Germany’s HAI burden in 2011 headline numbers, which infections drive it, and why per-population burden looks high.